آپلود ویدئو | ورود | ثبت نام


عرفان صلواتی-

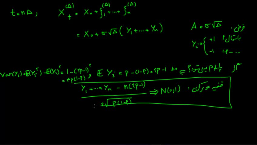
حرکت براونی هندسی به عنوان حد مدل دوجمله‌ای


Embed گزارش تخلف

مشاهده 967

دریافت ویدئو: حجم کم کیفیت بالا
توسط عرفان صلواتی در 15 Dec 2019
توضیحات:

لغات کلیدی:


comments powered by Disqus

درباره ما | تماس با ما | قوانین تخته سفید