آپلود ویدئو | ورود | ثبت نام


عرفان صلواتی-

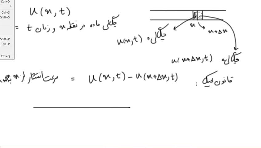
PDE-3-مدل‌سازی معادله پخش و لاپلاس


Embed گزارش تخلف

مشاهده 667

دریافت ویدئو: حجم کم کیفیت بالا
توسط عرفان صلواتی در 31 Mar 2020
توضیحات:

لغات کلیدی:


comments powered by Disqus

درباره ما | تماس با ما | قوانین تخته سفید