آپلود ویدئو | ورود | ثبت نام


siavash533-

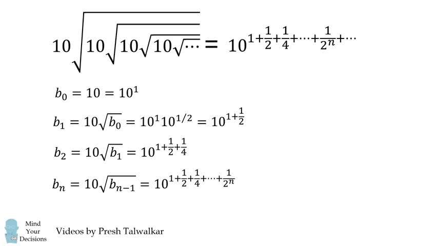
Can You Solve This? Infinite Radicals


Embed گزارش تخلف

مشاهده 874

دریافت ویدئو: حجم کم کیفیت بالا
توسط siavash533 در 11 Apr 2019
توضیحات:

A version of this problem appeared in a math competition for 16-17 year olds. Can you figure it out? Thanks to Abdelhakim in Algeria for suggesting this problem!

Subscribe: https://www.youtube.com/user/MindYourDecisions?sub_confirmation=1

Playlist to watch all videos on MindYourDecisions: https://www.youtube.com/playlist?list=UUHnj59g7jezwTy5GeL8EA_g

This is the only channel to feature math topics suggested by people around the world. Support the channel on Patreon so we can share the beauty of mathematics and make the world a better place:
https://www.patreon.com/mindyourdecisions

If you buy from the links below I may receive a commission for sales. This has no effect on the price for you.

Show your support! Get a mug, a t-shirt, and more at Teespring, the official site for Mind Your Decisions merchandise:
https://teespring.com/stores/mind-your-decisions

My Books
"The Joy of Game Theory" shows how you can use math to out-think your competition. (rated 4.0/5 stars on 36 reviews)
http://amzn.to/1uQvA20

"The Irrationality Illusion: How To Make Smart Decisions And Overcome Bias" is a handbook that explains the many ways we are biased about decision-making and offers techniques to make smart decisions. (rated 4.6/5 stars on 3 reviews)
http://amzn.to/1o3FaAg

"Math Puzzles Volume 1" features classic brain teasers and riddles with complete solutions for problems in counting, geometry, probability, and game theory. Volume 1 is rated 4.4/5 stars on 13 reviews.
http://amzn.to/1GhUUSH

"Math Puzzles Volume 2" is a sequel book with more great problems. (rated 4.5/5 stars on 6 reviews)
http://amzn.to/1NKbyCs

"Math Puzzles Volume 3" is the third in the series. (rated 4/5 stars on 6 reviews)
http://amzn.to/1NKbGlp

"40 Paradoxes in Logic, Probability, and Game Theory" contains thought-provoking and counter-intuitive results. (rated 4.4/5 stars on 13 reviews)
http://amzn.to/1LOCI4U

"The Best Mental Math Tricks" teaches how you can look like a math genius by solving problems in your head (rated 4.8/5 stars on 5 reviews)
http://amzn.to/18maAdo

"Multiply Numbers By Drawing Lines" This book is a reference guide for my video that has over 1 million views on a geometric method to multiply numbers. (rated 4.3/5 stars on 6 reviews)
http://amzn.to/XRm7M4

Connect with me
My Blog: https://mindyourdecisions.com/blog/
Twitter: https://twitter.com/preshtalwalkar
Facebook: https://www.facebook.com/pages/Mind-Your-Decisions/168446714965
Google+: https://plus.google.com/108336608566588374147/posts
Pinterest: https://www.pinterest.com/preshtalwalkar/
Tumblr: https://preshtalwalkar.tumblr.com/
Instagram: https://instagram.com/preshtalwalkar/
Patreon: https://www.patreon.com/mindyourdecisions

Newsletter (sent only for big news, like a new book release): http://eepurl.com/KvS0r

لغات کلیدی:


comments powered by Disqus

درباره ما | تماس با ما | قوانین تخته سفید