آپلود ویدئو | ورود | ثبت نام


siavash533-

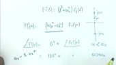
Molarity Practice Problems


Embed گزارش تخلف

مشاهده 1001

دریافت ویدئو: حجم کم کیفیت بالا
توسط siavash533 در 28 Aug 2017
توضیحات:

To see all my Chemistry videos, check out http://socratic.org/chemistry Confused about molarity? Don't be! Here, we'll do practice problems with molarity, ca...

لغات کلیدی:

chemistry, physics, khan, academy, brightstorm, ap, ib, honors, sat, oat, dat, mcat, molarity, molality, solutions, stoichiometry, concentration, moles, gram...


comments powered by Disqus

درباره ما | تماس با ما | قوانین تخته سفید