آپلود ویدئو | ورود | ثبت نام


siavash533-

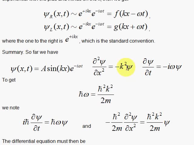
I5. Derivation of the Schrödinger Equation


Embed گزارش تخلف

مشاهده 1159

دریافت ویدئو: حجم کم کیفیت بالا
توسط siavash533 در 23 Apr 2017
توضیحات:

We "derive" the Schrödinger equation by searching for a differential equation to describe the discrete energy levels of a particle in a one-dimensional box. ...

لغات کلیدی:

Schrödinger, equation, derivation, harmonics


comments powered by Disqus

درباره ما | تماس با ما | قوانین تخته سفید