آپلود ویدئو | ورود | ثبت نام


کلاس درس-

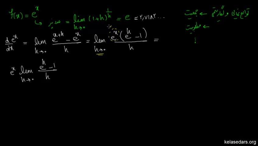
مشتق ۲۹ - مشتق توابع نمایی ۱


Embed گزارش تخلف

مشاهده 4778

دریافت ویدئو: حجم کم کیفیت بالا
توسط کلاس درس در 14 Apr 2013
توضیحات:

در این ویدیو به کمک یک مثال با مشتق گیری از توابع نمایی آشنا می شویم. نظرات، پیشنهادات و انتقادات شما مایه‌ی دلگرمی‌ ماست و بزرگترین کمک به ما برای بهبود کیف...

لغات کلیدی:

دبیرستان, کلاس, درس, حسابان, حساب, دیفرانسیل, و, انتگرال, مشتق, آهنگ, تغییر, خط, مماس, آموزش, فارسی, ایران, افغانستان, محمد, اکبرپور, kelasedars.org, kelasedars, kh...


comments powered by Disqus

درباره ما | تماس با ما | قوانین تخته سفید