آپلود ویدئو | ورود | ثبت نام


محمد-

Feedback systems magnetic levitation project


Embed گزارش تخلف

مشاهده 947

دریافت ویدئو: حجم کم کیفیت بالا
توسط محمد در 27 Nov 2017
توضیحات:

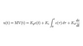
My 6.302 maglev project! Stabilized using a lead network with a zero and pole at around 1 Hz and 10 Hz ...

لغات کلیدی:


comments powered by Disqus

درباره ما | تماس با ما | قوانین تخته سفید