آپلود ویدئو | ورود | ثبت نام


کلاس درس-

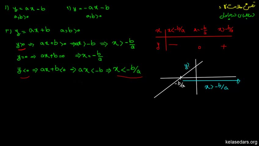
تعیین علامت ۰۳ - تعیین علامت دو جمله ای درجه اول ۲


Embed گزارش تخلف

مشاهده 3693

دریافت ویدئو: حجم کم کیفیت بالا
توسط کلاس درس در 01 Nov 2013
توضیحات:

در این ویدئو در ادامه ویدئوی قبل به بررسی مبحث تعیین علامت دو جمله ای می پردازیم نظرات، پیشنهادات و انتقادات شما مایه‌ی دلگرمی‌ ماست و بزرگترین کمک به ما برا...

لغات کلیدی:

kelasedars, kelas, dars+, دبیرستان+, ریاضی, دوم, ریاضیات+, تعیین, علامت+, کلاس, درس, دوجمله, ای, درجه, اول


comments powered by Disqus

درباره ما | تماس با ما | قوانین تخته سفید