آپلود ویدئو | ورود | ثبت نام


دانشجو-

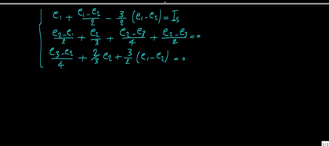
جلسه بیست و دوم مدارهای الکتریکی 1


Embed گزارش تخلف

مشاهده 2159

دریافت ویدئو: حجم کم کیفیت بالا
توسط دانشجو در 04 Oct 2015
توضیحات:

حل تمرین از تحلیل گره

لغات کلیدی:


comments powered by Disqus

درباره ما | تماس با ما | قوانین تخته سفید