آپلود ویدئو | ورود | ثبت نام


Parisa202-

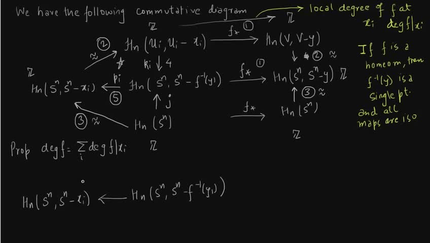
Degree Part IV


Embed گزارش تخلف

مشاهده 996

دریافت ویدئو: حجم کم کیفیت بالا
توسط Parisa202 در 24 Jul 2018
توضیحات:

contd. from Part III

لغات کلیدی:


comments powered by Disqus

درباره ما | تماس با ما | قوانین تخته سفید