آپلود ویدئو | ورود | ثبت نام


دانشجو-

جلسه هفتاد و سوم الکترونیک 2


Embed گزارش تخلف

مشاهده 1713

دریافت ویدئو: حجم کم کیفیت بالا
توسط دانشجو در 14 Aug 2015
توضیحات:

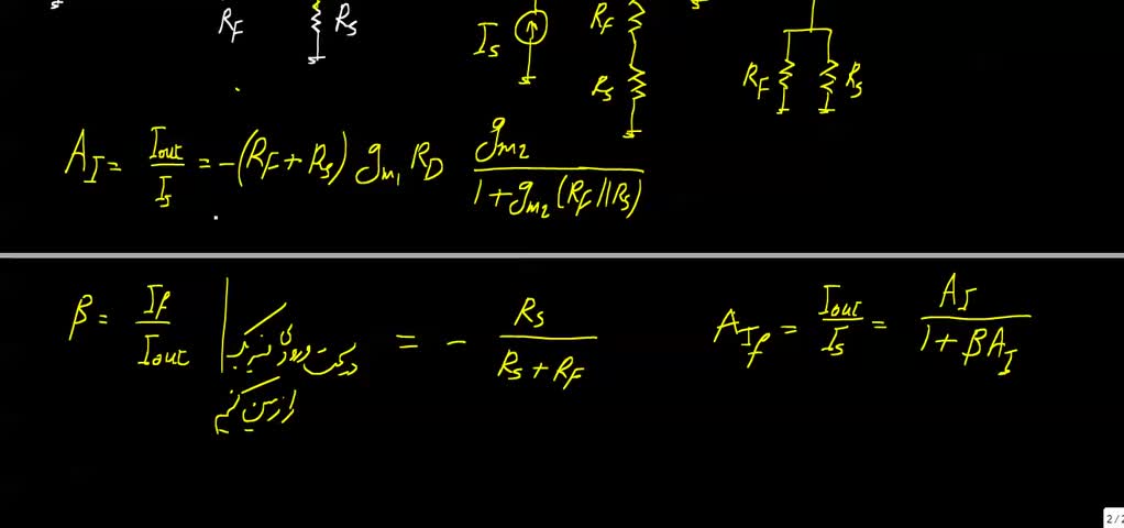
مثال از فیدبک جریان - جریان

لغات کلیدی:


comments powered by Disqus

درباره ما | تماس با ما | قوانین تخته سفید