آپلود ویدئو | ورود | ثبت نام


siavash533-

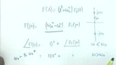
Graph of r = 1 + cos(theta/2) | MIT 18.01SC Single Variable Calculus, Fall 2010


Embed گزارش تخلف

مشاهده 1137

دریافت ویدئو: حجم کم کیفیت بالا
توسط siavash533 در 08 Apr 2017
توضیحات:

Graph of r = 1 + cos(theta/2) Instructor: Christine Breiner View the complete course: http://ocw.mit.edu/18-01SCF10 License: Creative Commons BY-NC-SA More i...

لغات کلیدی:

differentiation of functions, integration of functions, limits, continuity, differentiation rules, extremum problems, definite integration, indefinite integr...


comments powered by Disqus

درباره ما | تماس با ما | قوانین تخته سفید