آپلود ویدئو | ورود | ثبت نام


محمد-

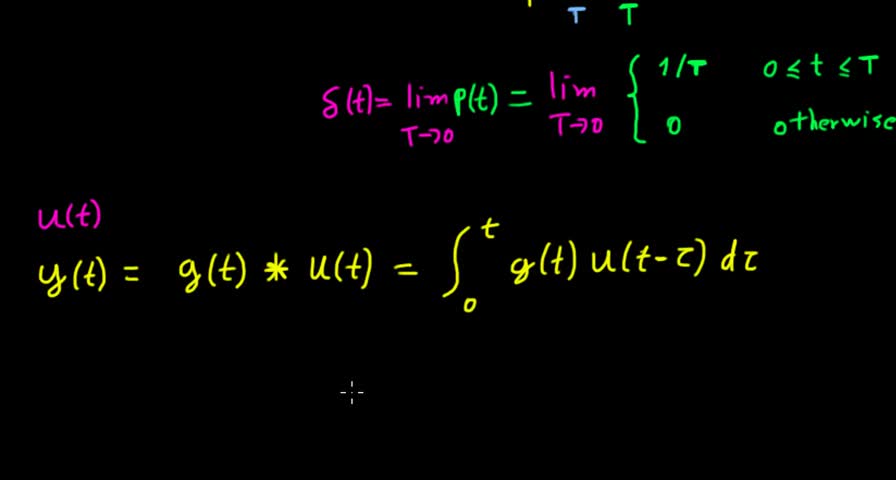
Impulse response


Embed گزارش تخلف

مشاهده 1655

دریافت ویدئو: حجم کم کیفیت بالا
توسط محمد در 26 Sep 2013
توضیحات:

لغات کلیدی:

Impulse, response


comments powered by Disqus

درباره ما | تماس با ما | قوانین تخته سفید